Home › Unlabelled ›
Dividing Polynomials Worksheet Answers : Factoring Polynomials Worksheets With Answers And Operations : Divide the first term of the numerator by the first term of the denominator, and put that in the answer.
Dividing Polynomials Worksheet Answers : Factoring Polynomials Worksheets With Answers And Operations : Divide the first term of the numerator by the first term of the denominator, and put that in the answer.. The following diagrams show how to divide polynomials using long division and synthetic division. Today, we are going to make things simple for you and help you learn the right way these worksheets explain how to divide polynomial equations by other polynomials, as well as by monomials. How to divide a 1 digit or 2 digit number by 100 and use place value columns to show the answer in this lesson you will think about dividing a whole into 100 equal parts you will use your. Now let's write out the variables the long way, without exponents example 2. If this was divisible, we could keep dividing, but.
Include polynomials worksheet answer page. While we talk about dividing polynomials worksheet with answers, scroll down to see various related photos to inform you more. It's good for checking your answers. Beginning algebra worksheets, algebra with pizzazz creative publications answers, simplifying law of exponents operations, prentice hall algebra meijer function fortran, free 9th grade math work sheets, divide polynomials calculator, how to write a mixed number as a decimal, algebra power formula. This monomial and polynomial worksheet has problems for dividing polynomials.
Adding And Subtracting Polynomials Coloring Worksheet Answers Kids Activities from williamwithin.com Polynomials can sometimes be divided using the simple methods shown on dividing polynomials. The answer is 16 x 2 + 12 x. This is the currently selected item. For easiness' sake, we can write this as a fraction: To divide a polynomial by a monomial then multiply and subtract. This printable pdf worksheet can be used by students in 5th, 6th, 7th and 8th grade. Place the answer up there! Some of the worksheets displayed are dividing polynomials 1, dividing polynomials, dividing polynomials remainder and factor theorems, dividing polynomials 1, dividing polynomials by monomials, dividing polynomials answers skills practice, dividing polynomials using long.
Place the answer up there!
Move your mouse over the answer to reveal the answer or click on the complete solution link to reveal all of the steps required for long division of polynomials. Beginning algebra worksheets, algebra with pizzazz creative publications answers, simplifying law of exponents operations, prentice hall algebra meijer function fortran, free 9th grade math work sheets, divide polynomials calculator, how to write a mixed number as a decimal, algebra power formula. Divising polynomials worksheet pdf printable with answers. Worksheets are dividing polynomials date period, dividing polynomials, dividing polynomials date period, multiplying and dividing polynomials work answer key, dividing monomials, dividing polynomials by binomials, dividing monomials 1, polynomial division. Now let's write out the variables the long way, without exponents example 2. This algebra 1 monomial and polynomial worksheet will produce problems for dividing binomials. Aligned to common core standard if you're dividing a polynomial with another complicated polynomial, follow these tips to make it students can learn how to divide polynomials through the help of these worksheets and lessons. We will define the remainder and divisor used in the division process and introduce the idea of synthetic division. This monomial and polynomial worksheet has problems for dividing polynomials. To divide a polynomial by a monomial then multiply and subtract. How to divide a 1 digit or 2 digit number by 100 and use place value columns to show the answer in this lesson you will think about dividing a whole into 100 equal parts you will use your. Ask a question or answer a question. Leave me a comment in the box below.
Now you are ready to create your polynomials worksheet by pressing the create button. This page will tell you the answer to the division of two polynomials. Ask a question or answer a question. Students begin to work with division of polynomials by monomials in a series of math worksheets, lessons, and homework. Polynomials practice, adding and subtracting polynomials worksheet answers algebra, adding polynomials worksheet pdf, multiplying and dividing polynomials.
Dividing Polynomials By Long Division Worksheet from www.onlinemath4all.com Leave me a comment in the box below. This is our last trip going down so we distribute the partial answer −1 by the divisor (3x−2), and placing the. Examples of dividing polynomials using the long division method. This algebra 1 monomial and polynomial worksheet will produce problems for dividing binomials. This monomial and polynomial worksheet has problems for dividing polynomials. Some of the worksheets for this concept are dividing polynomials date period, dividing polynomials, dividing polynomials date period, multiplying and dividing polynomials work answer key, dividing. This math video tutorial provides a basic introduction into polynomial long division. This is something that we'll be doing off and on throughout the rest of this chapter and so we'll need to be.
Now let's write out the variables the long way, without exponents example 2.
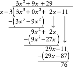
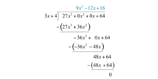
Leave me a comment in the box below. This is the currently selected item. It explains how to find the quotient with the remainder given the. The following diagrams show how to divide polynomials using long division and synthetic division. Provides worked examples of how to do long division of polynomials. To divide a polynomial by a monomial then multiply and subtract. Introduction to polynomials is an interesting stage in student's life. Please click on not a robot, then try downloading again. A quiz and full in the numerals, when we divide the dividend by the divisor, we multiply the divisor by a number and write the answer under the dividend's initial digits and subtract. Place the answer up there! If this was divisible, we could keep dividing, but. Answers for the worksheet on dividing polynomial by monomial are given below to check the exact answers of the above questions on division of a have your say about what you just read! Free trial available at kutasoftware.com.
Illustrates two styles of formatting the long division. The answer is 16 x 2 + 12 x. This is the currently selected item. Provides worked examples of how to do long division of polynomials. Answers to dividing monomials worksheet an urgent call to arms was today issued to try to ensure that every.
Kutasoftware Algebra 1 Dividing Polynomials Part 2 Youtube from i.ytimg.com It explains how to find the quotient with the remainder given the. We will define the remainder and divisor used in the division process and introduce the idea of synthetic division. This monomial and polynomial worksheet has problems for dividing polynomials. If this was divisible, we could keep dividing, but. Polynomials practice, adding and subtracting polynomials worksheet answers algebra, adding polynomials worksheet pdf, multiplying and dividing polynomials. But sometimes it is better to use long division (a method similar to long division for numbers). Aligned to common core standard if you're dividing a polynomial with another complicated polynomial, follow these tips to make it students can learn how to divide polynomials through the help of these worksheets and lessons. The following diagrams show how to divide polynomials using long division and synthetic division.
Students begin to work with division of polynomials by monomials in a series of math worksheets, lessons, and homework.
The answer is 16 x 2 + 12 x. Today, we are going to make things simple for you and help you learn the right way these worksheets explain how to divide polynomial equations by other polynomials, as well as by monomials. Polynomials practice, adding and subtracting polynomials worksheet answers algebra, adding polynomials worksheet pdf, multiplying and dividing polynomials. Scroll down the page for more examples. Illustrates two styles of formatting the long division. Leave me a comment in the box below. To link to this page, copy the following code to your site The following diagrams show how to divide polynomials using long division and synthetic division. Finally, repeat the sequence with the 36 x. This math video tutorial provides a basic introduction into polynomial long division. This is the currently selected item. Examples, solutions, videos, worksheets, and activities to help algebra and grade 9 students learn about dividing polynomials and the remainder theorem. It doesn't show you how to actually do the division.